Attached Files

To refer to attachments on a page, use attachment:filename, as shown below in the list of files. Do NOT use the URL of the [get] link, since this is subject to change and can break easily.
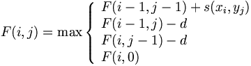
  • [get | view] (2011-11-25 19:36:46, 1.4 KB) [[attachment:86c44b5eb3cca47788ef0a08330bc57e43a36fac_latex.png]]
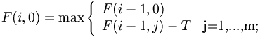
  • [get | view] (2011-11-25 19:36:46, 2.2 KB) [[attachment:ae39c50e52024f3190c84bea3fb17329ddbc8b86_latex.png]]
 All files | Selected Files: delete move to page copy to page

You are not allowed to attach a file to this page.